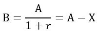
一般题型:已知现期A和增长率r,求基期B。公式如下:
考公日记 | 资料分析(3):求增长量X的一些技巧
前两期讲到了求增长量X的技巧,基期B的求解方法很类似,有下面几种情况
令r=1/n,基期B计算公式化为:
特殊百分数可按照下面形式来背诵
可用现期A直接估算增长量X,进一步求得基期B:
若r>0,求得的增长量X偏大、基期B偏小;若r<0,增长量X偏小、基期B偏大
可使用假设法来求解:根据选项的范围假设一个B0,假设的B0尽量是一个简单数值,求得增长量X0
此时X0很接近真实的增长量,然后求得基期B1,看与哪个选项最接近就选谁
选项差距越小该方法越适用
老老实实直除。。。
大家做笔记时可以把增长量X和基期B整理到一起

随便聊聊
初春用花香诉说回忆
仲夏的星星照亮你足迹
金秋将思念挂在天际
冬天用离别冻结了回忆
我听见你的声音逐渐靠近
那是你穿越时间来我梦里
当世界突然狂风四起
泼下倾盆大雨
你毫不犹豫
用那双粗糙的手挡风雨