这期我们来谈谈基期比重的运算技巧
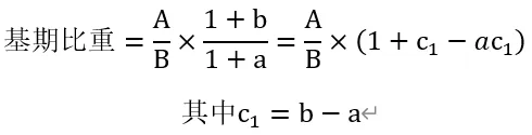
假设A是部分的现期量,对应的增长率为a,B是整体的现期量,对应的增长率为b。则基期比重的计算公式为:
计算基期比重的一般步骤和技巧如下:
(1)首先计算现期比重,即式子第一部分A/B
(2)判断式子第二部分
与1的大小关系,排除一些选项
b大于a,基期比重大于A/B;b小于a,基期比重小于A/B
(3)需要精算时,使用下面的技巧

于是得到基期比重的求解式子:
这个技巧跟前面的一期求解比值增长率很相似,可以去回顾一下
考公日记 | 资料分析(8):平均数增长率的运算技巧

随便聊聊
毕业论文查重过了,进入盲审环节,希望一切顺利
看霓虹长出柔软的触角
给单调的人换上缤纷躯壳
下一步向左向右看心情都不重要
以下个绿灯亮起做信号
掠过遍布人生指南的街道
不再回去城市某间禁锢灵魂的巢
我想我可以抓住风中飘散的花
不介意坠入水星或是泥巴
跟现在握手拥抱道别出发
别停下
我想我成为阳光蔷薇飞鸟盛夏
或成为昆虫砂砾一片雪花
我不在乎 将烦恼都忘掉
嘿 少管我