
2024年河北省公务员行测真题数量关系
(考生回忆版)
1.大学生创业主要集中在高科技、智力服务、连锁加盟和自媒体运营四个领域。某学院今年选择创业的大学毕业生不到50人,其中选择智力服务领域、连锁加盟领域和自媒体运营领域的分别占,和。那么该学院今年选择高科技领域创业的大学毕业生有多少人?
A、1
B、3
C、5
D、7
2.中秋节前夕,小赵买了6个外观相同的月饼,其中有3个是蛋黄馅的。回到家后,小赵从中任取3个月饼,里面恰好有1个是蛋黄馅的概率是:
A、9/20
B、1/2
C、3/5
D、11/20
3.某农产品基地对外供应一批农副产品。假设这批农副产品每天都有定量的自然损耗,如果提货方每天运走1.5吨产品,则50天运完;如果提货方每天运走2吨产品,则40天运完。那么这批农副产品有多少吨?
A、75
C、100
B、80
D、110
4.某公园绿化管理部门采购了100片围栏,每片长1米且不可弯折。现拆分拟围成5块周长相等且互不相邻的矩形花卉区域。若不考虑拼接间隙,那么这5块区域的最大与最小面积最多可相差多少平方米?
A、10
C、16
B、12
D、25
5.某单位为解决职工暑期“带娃难”的问题,开设了暑托班。开班时男孩与女孩的比例为3:4,后来有2个男孩、1个女孩退出暑托班,此时男孩与女孩的比例为2:3。那么开班时女孩有多少人?
A、10
B、12
C、14
D、16

6.为弘扬耕读文化,某校打造多样化“校外+校内”耕读文化教育基地,有种植、绘画、编织、美食四个主题基地供同学们选学。假设每位学生选择1个主题基地参与学习,那么甲、乙、丙、丁4名学生中至少有3名学生选择不同主题基地的方法有多少种?
A、24
B、60
C、144
D、168
7.原油A每吨的价格为0.3万元,可提炼苯乙烯0.5吨,提炼过程中每吨原油产生的废气量为0.4吨;原油B每吨的价格为0.4万元,可提炼苯乙烯0.7吨,提炼过程中每吨原油产生的废气量为0.3吨。若要提炼至少1.9吨的苯乙烯且产生的废气量不超过1吨,则购买原油的最低费用为多少万元?
A、1
C、1.2
B、1.1
D、1.3
8.某公司开展迎新春三分球投篮比赛。3个部门分别派出2、4、4个选手共计10人参加。规则要求同一个部门的选手顺序相连、全部投完再安排另一个部门的人员,则这10人不同的投篮顺序种数的范围是:
A、小于1000
C、5001~10000
B、1000~5000
D、10000以上
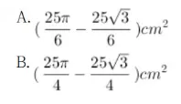
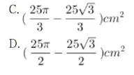
9.莱洛三角形是以等边三角形三个顶点为圆心,边长为半径,在顶点的对边画弧所得的封闭图形,这种形状的钻头可钻出四角为圆弧的正方形的孔洞(如左下图所示)。现将某莱洛三角形钻头所钻孔洞近似为正方形,测得该正方形孔洞截面积为(如右下图所示),则该钻头的截面积为:



10.气象学中,24小时内降落在某面积上的雨水深度叫做日降雨量(不考虑渗漏、蒸发、流失等损耗,单位:mm),将日降雨量记为w,其等级划分如下:小雨(0.1≤w<10),中雨(10≤w<25),大雨(25≤w<50),暴雨(50≤w<100)。某地某日用一个圆锥形容器接了24小时的雨水(如下图所示),则该地日降雨量等级是

A、小雨
B、中雨
C、大雨
D、暴雨

11.A、D两地设有通信基站(如下图所示),发射信号范围分别是以A、D为圆心,AE和DB为半径的圆形区域,小林从B地出发,沿与DB垂直的BA方向匀速行进,步行速度为4千米/小时,那么步行约多少分钟后小林的手机能够重新接收到信号?(根号5≈2.23)

A、8
B、10
C、12
D、14
12.中国空间站主体由天和核心舱、问天实验舱、梦天实验舱构成。某次实验需要5名宇航员同时在三个舱中开展,每个人只能去一个舱,每个舱至少安排1名宇航员,其中甲宇航员只能去问天实验舱和梦天实验舱中的一个,则不同的安排方法有多少种?
A、72
B、88
C、100
D、144
13.某旅游公司定制甲、乙两种纪念品,第一次共定制50个。试销后根据反馈,第二次定制两种纪念品共70个,其中乙纪念品个数是第一次的1/4。已知甲纪念品单价为15元,第一次定制花费1150元,那么第二次定制花费多少元?
A、1150
B、1725
C、2300
D、2875
14.某社区服务中心拟引入优质资源为本社区45名老人提供居家养老服务。已知老人的年龄构成如下(设老人的年龄为x):60≤x<70有17人,70≤x<80有12人,80≤x<90有11人,90岁及以上有5人。现从该社区中随机抽取两名老人了解居家养老服务情况,那么这两名老人恰好都在80岁以上(含80岁)的概率是:
A、4/33
C、16/45
B、11/45
D、1/3
15.某地人工湖景区开辟了沿湖福道和环湖乐道两条圆形观景道供市民休闲健身(如下图所示)。小李和他的妈妈分别沿乐道和福道从A、B两地同时同向而行(A、B两点间距离为50米),小李骑自行车的速度是妈妈步行速度的6倍,已知妈妈步行速度为每小时5千米,妈妈沿福道步行一周的时间是小李骑行乐道时间的4倍,那么这个湖面的面积约多少万平方米?(圆周率取3)

A、2
B、3
C、4
D、6

往期精彩
